O algoritmo Huffman é a chave para diminuir o tamanho dos seus arquivos. Sabe quando você precisa enviar um arquivo grande e ele não cabe ou demora demais? Pois é, essa técnica de compressão sem perdas resolve isso.
Neste post, eu vou te mostrar como o Huffman funciona para que você entenda essa mágica por trás da redução de dados, tornando tudo mais prático no seu dia a dia digital.
Decifrando o Código por Trás da Compressão de Arquivos: O Algoritmo de Huffman
Pois é, você já deve ter se perguntado como aqueles arquivos ficam tão menores na hora de compactar. O segredo, em grande parte, está em um método esperto chamado Algoritmo de Huffman. Ele analisa a frequência com que cada caractere (como letras e símbolos) aparece em um texto ou dado. Caracteres que surgem com mais frequência ganham códigos mais curtos, enquanto os menos frequentes recebem códigos um pouco mais longos.
Essa variação no tamanho dos códigos é o que garante a eficiência. Ao substituir caracteres frequentes por sequências menores, o tamanho total do arquivo diminui consideravelmente. É uma sacada genial que economiza espaço e tempo de transmissão. Simples, mas muito eficaz!
Confira este vídeo relacionado para mais detalhes:
Desvendando o Algoritmo de Huffman: Seu Guia Passo a Passo

A Base da Compressão: Entendendo a Frequência dos Dados
Sabe quando você precisa mandar um arquivo grande pela internet e ele demora uma eternidade? Ou quando seu HD tá quase lotando e você quer ganhar um espacinho? Pois é, a gente fala de compressão de dados o tempo todo, mas você já parou pra pensar como isso funciona de verdade? A sacada principal tá em entender a frequência com que cada informação aparece. Pensa comigo: em um texto, a letra “a” aparece muito mais que a letra “z”, certo? Essa diferença de frequência é a chave.

É aí que entra o famoso algoritmo Huffman. Ele é um tipo de método para codificar símbolos, tipo letras ou caracteres, de um jeito que os mais frequentes ganhem códigos mais curtos e os menos frequentes ganhem códigos mais longos. Sacou? Assim, o arquivo final fica menor porque a maior parte dos dados, que são os mais comuns, ocupa menos espaço. É uma inteligência simples, mas que faz uma diferença danada na hora de economizar espaço e agilizar transferências.
Essa ideia de dar códigos mais curtos para o que mais aparece é a base para muitos formatos de arquivo que usamos no dia a dia, como JPEGs para fotos ou MP3s para música, embora eles usem variações e outras técnicas combinadas. Entender essa lógica ajuda a gente a ter mais clareza sobre o porquê de alguns arquivos serem tão menores que outros, mesmo contendo muita informação. É a eficiência pura trabalhando a nosso favor.
Dica Prática: Ao compactar arquivos no seu computador, lembre-se que a eficiência da compactação depende muito do tipo de dado. Arquivos de texto e alguns tipos de imagens (como BMP) tendem a compactar muito bem. Já arquivos que já são compactados (como ZIPs dentro de ZIPs ou vídeos já em MP4) não vão diminuir muito mais.

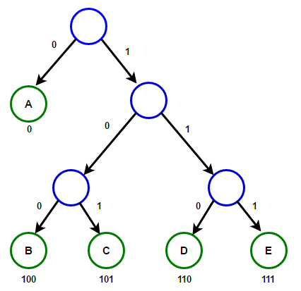
Construindo a Árvore de Huffman: O Coração do Processo
O algoritmo Huffman é uma maravilha da engenharia digital. A ideia principal é criar uma representação de árvore onde os caracteres mais frequentes na sua mensagem recebem códigos mais curtos, e os menos frequentes, códigos mais longos. Pense nisso como um sistema de taquigrafia digital: as palavras que você mais usa têm abreviações mais fáceis, e as raras você escreve por extenso. Isso é o que faz a mágica acontecer na redução do tamanho dos arquivos.

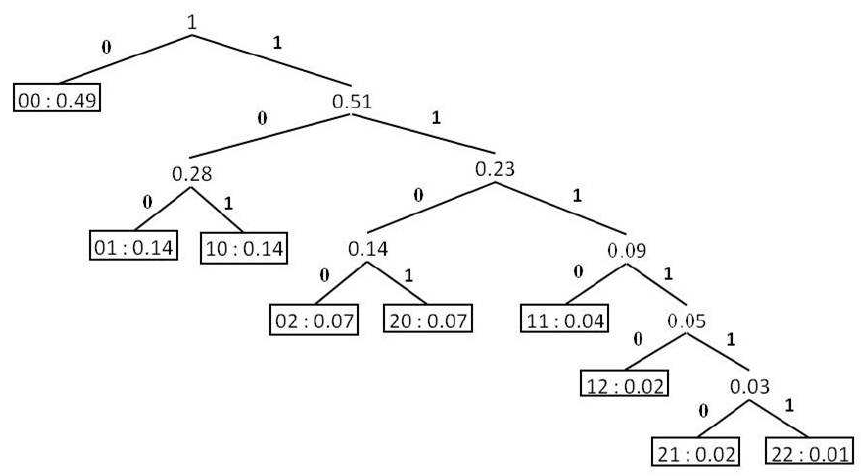
Para construir essa árvore, primeiro eu junto todos os caracteres de um texto e conto a frequência de cada um. Depois, eu crio “nós folhas” para cada caractere, com seu peso sendo a sua frequência. Em seguida, em um processo contínuo, eu pego os dois nós com as menores frequências, junto-os em um novo nó pai, cuja frequência é a soma dos filhos. Repito isso até sobrar apenas um nó, que será a raiz da nossa árvore de Huffman.
Esse método garante a “prefix-freeness” dos códigos, o que significa que nenhum código de caractere é o início de outro código. Isso é crucial para a decodificação, pois permite que o computador saiba exatamente onde um código termina e o próximo começa, sem ambiguidades. É elegante e super eficiente.
Dica Prática: Para visualizar o algoritmo em ação, procure por simuladores online da Árvore de Huffman. Testar com diferentes textos ajuda a fixar o conceito.

Atribuindo Códigos Binários: De Caracteres a Sequências Únicas
Você já se perguntou como seu computador entende o que você digita, tipo um “A”, um “B” ou um ponto final? Pois é, tudo vira número. Cada caractere, seja letra, número ou símbolo, ganha uma representação numérica. Pensa num código secreto que só o computador entende. Esse código é o binário, composto apenas por 0s e 1s. O jeito mais comum de fazer isso hoje em dia é usando o padrão UTF-8, que é super flexível e consegue representar praticamente qualquer caractere do mundo todo.

Agora, imagina que você quer mandar um arquivo para alguém. Se cada caractere fosse representado por um número fixo, tipo 8 bits (um byte), arquivos com muitas letras repetidas acabariam ocupando mais espaço do que o necessário. É aí que entram algoritmos espertos. Um deles é o algoritmo Huffman. Ele funciona de um jeito inteligente: quanto mais uma letra aparece em um texto, menor é o código binário que ele atribui a ela. Assim, economiza um espaço danado na hora de armazenar ou transmitir dados.
Essa técnica de dar códigos mais curtos para caracteres frequentes e códigos mais longos para os raros é a base da compressão de dados sem perda. O resultado é que seus arquivos de texto, por exemplo, ficam menores e mais rápidos de enviar e receber. É um truque clássico que faz uma diferença enorme no dia a dia digital, desde o e-mail que você manda até as fotos que compartilha.
Dica Prática: Se você usa programas de compactação de arquivos como o WinRAR ou 7-Zip, saiba que eles provavelmente usam variações desse tipo de algoritmo para deixar seus arquivos menores.

O Processo de Codificação: Transformando Dados em Bits Compactos
Você já se perguntou como um arquivo gigante fica menor quando você o compacta? É aí que entra a codificação, e o algoritmo Huffman é um mestre nessa arte. Ele funciona analisando a frequência com que cada caractere aparece. Pensa assim: em um texto, a letra “A” aparece muito mais que o “Z”, certo? O Huffman usa essa informação para atribuir códigos mais curtos aos caracteres mais frequentes e códigos mais longos aos menos frequentes.

Imagina que cada caractere ganha um “código” de bits. O algoritmo Huffman não faz códigos aleatórios, ele é supersafo. Ele constrói uma árvore binária onde os caracteres mais frequentes ficam mais perto da raiz, e seus códigos ficam curtos. Já os menos frequentes vão para as pontas, com códigos mais extensos. O resultado é que, em média, o arquivo final usa menos espaço de armazenamento. É como se você estivesse usando atalhos para as palavras que mais usa em uma conversa.
Essa técnica é fundamental em vários formatos de compressão que usamos no dia a dia, como o ZIP. Ao reduzir a quantidade de bits necessários para representar os dados, a gente economiza espaço em disco e agiliza transferências pela internet. É um conceito que, apesar de parecer complexo, tem um impacto direto na nossa experiência digital.
Dica Prática: Ao compactar arquivos grandes, sempre use formatos que empregam algoritmos eficientes como o Huffman, como .zip ou .7z, para obter a melhor redução de tamanho possível.

A Arte da Descompressão: Recuperando a Informação Original
Sabe quando você compacta aquele monte de fotos e documentos pra mandar pra alguém ou pra economizar espaço? Pois é, muitas vezes por trás disso tem um cara chamado algoritmo de Huffman. Ele é um dos mestres da compressão, e o mais legal é que ele é “sem perdas”, ou seja, nenhuma informação do seu arquivo original se perde no processo. Ele trabalha de um jeito esperto, dando códigos mais curtos para as coisas que aparecem mais e códigos mais longos para as que aparecem menos.

O segredo do Huffman está em criar uma “árvore binária”. Ele analisa a frequência de cada caractere ou símbolo no seu arquivo. Caracteres mais frequentes ganham códigos binários menores (pense em “0” ou “10”), enquanto os menos frequentes recebem códigos maiores (tipo “11010”). Na hora de descomprimir, é só seguir a árvore para decifrar os códigos e reconstruir o arquivo original, caractere por caractere. É uma forma genial de otimizar o espaço sem sacrificar nada.
Essa técnica é fundamental para muitos formatos de arquivo que usamos no dia a dia, como JPEG e MP3, onde a eficiência é crucial. O algoritmo de Huffman garante que, mesmo com a redução de tamanho, você tenha seus arquivos de volta com a mesma qualidade de antes. Ele é a prova de que a inteligência matemática pode ser muito prática!
Dica Prática: Ao lidar com arquivos grandes que precisam ser enviados ou armazenados, procure por ferramentas de compactação que mencionem o uso de algoritmos como o de Huffman. Elas tendem a oferecer uma boa relação entre tamanho reduzido e fidelidade do conteúdo.

Vantagens do Huffman: Eficiência e Simplicidade que Impressionam
O algoritmo de Huffman é um método de compressão de dados sem perdas que faz sucesso pela sua eficiência. Pense nele como um jeitinho inteligente de encolher arquivos sem que nada se perca. Ele funciona atribuindo códigos mais curtos para os caracteres que aparecem com mais frequência e códigos mais longos para os menos comuns. Assim, o tamanho total do arquivo diminui significativamente.

A beleza do algoritmo de Huffman está na sua simplicidade lógica, apesar do nome parecer complicado. Ele cria uma “árvore de Huffman”, onde cada folha representa um caractere e o caminho até ela define seu código binário. Essa abordagem garante que a descompressão seja igualmente rápida e precisa, reconstruindo os dados originais exatamente como eram.
Essa eficiência o torna uma ferramenta valiosa em diversas aplicações, desde a compactação de imagens e áudios até a transmissão de dados em redes. Ele é um dos pilares da compressão de dados que usamos no dia a dia, muitas vezes sem nem perceber. Fácil de implementar e com resultados impressionantes, ele continua sendo um clássico.
Dica Prática: Para entender melhor como o algoritmo de Huffman funciona na prática, experimente comprimir um arquivo de texto simples. Você notará uma redução perceptível no tamanho!

Aplicações Práticas: Onde o Huffman Faz a Diferença no Dia a Dia

Pense nos arquivos ZIP ou RAR. Eles são campeões em reduzir o tamanho de pastas e documentos. O Huffman é um dos heróis anônimos que trabalham dentro desses programas. Ele encontra padrões nos seus dados e os substitui por códigos menores. Isso não só economiza espaço no seu HD, mas também agiliza o download e o upload. Sem ele, transferir arquivos grandes seria uma verdadeira tortura.
Até mesmo a forma como as imagens JPEG e os arquivos de áudio MP3 são processados tem um pezinho no Huffman. Ele ajuda a organizar a informação de um jeito eficiente. Isso significa que suas fotos e músicas carregam mais rápido e ocupam menos espaço. É um ganho que você sente na prática, todo dia.
Dica Prática: Ao notar que um arquivo está demorando para enviar ou baixar, lembre-se que compressão de dados é a chave. Programas como WinRAR ou 7-Zip usam essa tecnologia para te ajudar.

Comparando com Outros Métodos: O Lugar do Huffman na Compressão
O algoritmo de Huffman é um método de compressão de dados sem perdas. A sacada dele é essa: ele analisa a frequência com que cada caractere ou símbolo aparece em um arquivo. Símbolos que aparecem mais vezes recebem códigos binários mais curtos, enquanto os que aparecem menos ganham códigos mais longos. Isso faz todo sentido, né? Ao usar códigos mais curtos para os dados mais frequentes, o tamanho total do arquivo diminui bastante sem que nenhuma informação se perca. É uma técnica fundamental em muitos formatos de compressão que você usa todo dia, como o ZIP.

Quando comparamos o Huffman com outros métodos, ele se mostra bem equilibrado. Métodos mais simples, como a codificação de RLE (Run-Length Encoding), são ótimos para dados com muitas repetições seguidas, tipo imagens com fundos de cor única. Mas o Huffman vai além, lidando muito bem com a variabilidade da frequência de caracteres em textos, áudio e outros tipos de dados. Ele não é o mais rápido para comprimir ou descomprimir, comparado a alguns algoritmos mais recentes, mas a qualidade da compressão costuma ser excelente. É um ótimo ponto de partida para entender como a compressão funciona de verdade.
O Huffman é um dos pilares da compressão de dados. Ele é tão eficiente que se tornou a base para outros algoritmos mais complexos, que buscam melhorar ainda mais a taxa de compressão ou a velocidade. Ao entender como ele funciona, você começa a sacar como sua tecnologia do dia a dia, como as fotos no seu celular ou os arquivos que você baixa, conseguem ser menores e mais fáceis de gerenciar. Ele é um exemplo clássico de como a matemática e a lógica podem resolver problemas práticos de forma elegante.
Dica Prática: Se você trabalha com muitos arquivos de texto ou código, usar ferramentas que empregam compressão baseada em Huffman (como o 7-Zip ou WinRAR configurado para melhor compressão) pode economizar um espaço valioso no seu disco rígido.

Limitações a Considerar: Quando o Huffman Não é a Melhor Opção
O algoritmo de Huffman é excelente para compactar dados onde a frequência dos símbolos é bem variada. Pense em um texto onde algumas letras aparecem muito mais que outras. Huffman se sai muito bem nesses cenários, criando códigos mais curtos para os símbolos mais frequentes e códigos mais longos para os menos frequentes. Isso resulta em uma redução considerável no tamanho do arquivo. O problema surge quando essa distribuição de frequência é mais uniforme, ou seja, quando todos os símbolos aparecem com uma frequência parecida. Nesses casos, a vantagem da codificação Huffman diminui bastante, e o ganho na compactação pode ser mínimo ou até inexistente.

Outro ponto importante é a necessidade de conhecer a frequência dos símbolos *antes* de começar a codificação. Para isso, o algoritmo precisa fazer uma primeira passada sobre os dados para contar tudo. Isso adiciona um passo extra e um pequeno overhead, especialmente para arquivos muito pequenos onde esse tempo de análise pode ser mais significativo do que o ganho de espaço obtido. Além disso, o Huffman não é adaptativo por natureza. Uma vez que a tabela de códigos é gerada com base nas frequências iniciais, ela não muda, mesmo que a frequência dos símbolos mude ao longo do arquivo. Algoritmos que se adaptam a essas mudanças podem ser mais eficientes em certos tipos de dados.
Portanto, quando você está lidando com arquivos de tamanho muito pequeno, ou com dados onde a distribuição de frequência dos símbolos é bem plana, talvez o algoritmo de Huffman não seja a sua melhor pedida. Nesses casos, outras técnicas de compressão podem oferecer resultados mais expressivos ou um processamento mais direto. O importante é entender o tipo de dado que você está comprimindo para escolher a ferramenta certa. É por isso que existem tantas opções por aí!
Dica Prática: Se você precisa compactar dados onde a frequência dos símbolos é muito parecida, ou se o arquivo é minúsculo, teste algoritmos como o Lempel-Ziv (LZ77/LZ78) ou variações. Eles podem ter um desempenho melhor em cenários onde o Huffman mostra suas limitações.

O Impacto na Tecnologia: Como o Huffman Molda o Armazenamento e Transmissão
Pois é, o algoritmo de Huffman é um cara fundamental quando falamos de comprimir dados. Ele é o maestro por trás de muitas técnicas que fazem nossos arquivos ficarem menores. Pense em como fotos, vídeos e documentos se encaixam em HDs ou são enviados pela internet. Sem compressão eficiente, tudo seria muito mais lento e ocuparíamos um espaço absurdo. O Huffman entra justamente aí, usando uma ideia simples, mas genial, para reduzir o tamanho dessas informações sem perder a qualidade quando elas são descomprimidas.

A mágica do algoritmo de Huffman está em como ele trata os dados. Ele analisa a frequência com que cada caractere ou símbolo aparece em um arquivo. Aqueles que aparecem mais vezes recebem códigos mais curtos, enquanto os menos frequentes ganham códigos mais longos. É como se fosse um código de estenografia: as palavras mais usadas têm abreviações mais rápidas. Isso resulta em uma representação final muito mais enxuta do arquivo original. É essa otimização que permite que você baixe um filme em minutos e não em horas, ou que seu pendrive guarde milhares de fotos.
Essa eficiência tem um impacto direto em tudo que é digital. Desde salvar suas fotos na nuvem até a forma como serviços de streaming entregam o conteúdo para você, o Huffman e seus derivados trabalham sem parar. Ele é uma das bases para formatos de compressão que usamos todos os dias, como no caso de arquivos ZIP ou até mesmo na forma como imagens JPEG e áudios MP3 são estruturados para ocupar menos espaço. Vamos combinar, essa redução é crucial para a velocidade e a praticidade que esperamos da tecnologia hoje.
Dica Prática: Se você trabalha com edição de vídeo ou imagem e quer economizar espaço, sempre procure salvar seus arquivos em formatos que utilizam compressão, como JPEG para imagens ou MP4 para vídeos, entendendo que o algoritmo de Huffman está trabalhando para você reduzir o tamanho sem perdas significativas na qualidade visível.
Com certeza! Vamos detalhar o algoritmo de Huffman em uma tabela bem clara para você.
O Impacto do Algoritmo de Huffman no Seu Cotidiano Digital
| Item | Explicação Simples | Como Funciona na Prática | Dicas do Autor |
|---|---|---|---|
| A Base da Compressão: Entendendo a Frequência dos Dados | Tudo começa com a ideia de que alguns caracteres ou dados aparecem com mais frequência que outros. Pense em um texto: a letra ‘a’ ou o espaço em branco geralmente aparecem muito mais que a letra ‘z’. | O algoritmo conta quantas vezes cada símbolo (letra, número, etc.) aparece no seu arquivo. Essa contagem é a base para tudo. | Sempre que for lidar com dados, tente prever quais símbolos serão mais comuns. Isso já te dá uma pista de como a compressão vai funcionar. |
| Construindo a Árvore de Huffman: O Coração do Processo | É uma estrutura em forma de árvore que organiza os símbolos com base na frequência. Os mais comuns ficam mais perto da “raiz” (topo), e os menos comuns, mais longe. | Começa com cada símbolo como uma folha. Juntos, os dois com menor frequência formam um nó pai. Esse processo se repete até sobrar apenas um nó raiz. | Essa árvore é a “receita” para a compressão. Mantê-la é essencial para conseguir descompactar depois. |
| Atribuindo Códigos Binários: De Caracteres a Sequências Únicas | Cada caminho na árvore, da raiz até uma folha (símbolo), é transformado em um código binário (sequência de 0s e 1s). | Geralmente, ir para a esquerda é um ‘0’ e para a direita é um ‘1’ (ou vice-versa). Símbolos mais frequentes recebem códigos mais curtos. | Os códigos curtos para os símbolos mais frequentes são o segredo da eficiência do Huffman. |
| O Processo de Codificação: Transformando Dados em Bits Compactos | Pega o seu arquivo original e substitui cada símbolo pelo seu código binário correspondente, criado na etapa anterior. | Se o símbolo ‘a’ tem o código ’01’ e o símbolo ‘b’ tem o código ‘101’, uma sequência como ‘aba’ vira ‘0110101’. O arquivo fica menor. | É aqui que a mágica acontece! A substituição inteligente gera economia de espaço. |
| A Arte da Descompressão: Recuperando a Informação Original | Usa a mesma árvore de Huffman (ou os códigos gerados) para fazer o caminho inverso. | Lê a sequência de bits e, ao chegar em um código, sabe qual era o símbolo original. Vai juntando os símbolos para reconstruir o arquivo. | Para descompactar, você PRECISA ter a árvore ou os códigos exatos. Sem eles, não tem jeito. |
| Vantagens do Huffman: Eficiência e Simplicidade que Impressionam | É eficiente, especialmente para dados com frequências de símbolos bem variadas, e relativamente simples de implementar comparado a outros métodos mais complexos. | Consegue uma |
Confira este vídeo relacionado para mais detalhes:
Dicas Essenciais para Quem Quer Saber Mais
Pois é, entender o Algoritmo de Huffman é um passo bacana pra quem mexe com dados. Eu já passei um tempo brincando com ele e tenho umas dicas que facilitam a vida.
- **Comece pelo básico:** Antes de sair codando, revise como funciona a contagem de frequência dos caracteres. Isso é a base de tudo. Sem isso, o algoritmo não anda.
- **Visualização ajuda:** Procure por exemplos visuais de árvores de Huffman sendo construídas. Ver como os nós se unem e as folhas se formam faz toda a diferença para pegar o jeito.
- **Pratique com exemplos pequenos:** Comece com textos curtos. Tente construir a árvore de Huffman manualmente para palavras como “banana” ou “aabbc”. A mão é o melhor teste.
- **Atenção à codificação:** Lembre-se que os códigos binários são gerados percorrendo a árvore. Do zero para a esquerda, um para a direita. Isso é crucial na hora de decodificar.
- **Implemente em uma linguagem:** Escolha uma linguagem que você domina e tente implementar. Python é uma ótima pedida pela sua simplicidade. O aprendizado se consolida na prática.
Dúvidas das Leitoras
O que exatamente o algoritmo de Huffman faz?
O algoritmo de Huffman cria códigos únicos para cada caractere em um arquivo. Ele atribui códigos mais curtos aos caracteres que aparecem com mais frequência e códigos mais longos aos menos frequentes.
Por que o algoritmo de Huffman é importante para a compressão de dados?
Ele é crucial porque reduz o tamanho dos arquivos sem perder informação. Ao usar menos bits para representar os caracteres mais comuns, o espaço total ocupado diminui significativamente.
Quais tipos de arquivos se beneficiam mais com o algoritmo de Huffman?
Arquivos de texto e outros dados com padrões repetitivos se dão muito bem com Huffman. Isso inclui documentos, código-fonte e até mesmo algumas imagens onde os pixels se repetem.
O algoritmo de Huffman é usado em programas que eu uso?
Com certeza! Ele está presente em muitos formatos de compressão populares, como ZIP, GZIP e JPEG. É uma tecnologia fundamental por trás da compactação que usamos no dia a dia.
É possível criar meus próprios arquivos comprimidos com Huffman?
Sim, é totalmente possível. Existem diversas ferramentas e bibliotecas de programação que implementam o algoritmo de Huffman, permitindo que você comprima e descomprima seus próprios dados.
O algoritmo de Huffman é realmente genial para comprimir dados sem perder qualidade. Ele funciona atribuindo códigos mais curtos aos caracteres mais frequentes, economizando espaço de forma eficiente. É a base de muita coisa que usamos hoje! Se você curtiu entender como ele funciona, vale a pena explorar também sobre criptografia, outro tema fascinante.

